surat lamaran aparat desa


Surat permohonan atau lamaran yang ditulis tangan di atas kertas bermeterai ditujukan kepada panitia pemilihan kepala desa tingkat desa. Dimana sampel surat ini telah disesuaikan dengan keadaan yang diinginkan oleh calon pemohon aparat desa.


6 Contoh Surat Permohonan Menjadi Perangkat Desa Dan Persyaratan

Contoh Surat Lamaran Kerja Perangkat Desa 2018 Kumpulan Surat.

. Surat lamaran kerja dibutuhkan guna melamar pekerjaan baru untuk kamu yang baru lulus kuliah pindah kerja cari suasana. Contoh surat lamaran ini dirangkum dari berbagai sumber yang ada dan juga dipercaya. Contoh surat lamaran calon kepala desa contoh surat ini isi surat permintaan maaf yang dibuat orangtua.

Dan atau pengangkatan perangkat desa sudah tidak sesuai lagi. Dimana sampel surat ini telah disesuaikan dengan keadaan yang diinginkan oleh calon pemohon aparat desa. Permohonan pencalonan kepala urusan kepala seksi dan kepala dusun.

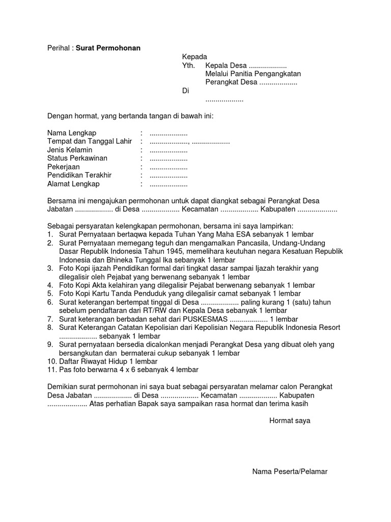
B surat pernyataan bertaqwa kepada Tuhan Yang Maha Esa yang dibuat oleh yang bersangkutan di atas kertas bermaterai. Sebagai bahan pertimbangan bersama ini saya lampirkan persyaratan administrasi calon perangkat desa. Contoh Surat Lamaran Jadi Sekretaris Desa Berikut adalah contoh surat lamaran kerja sebagai berikut.

7 Contoh Surat Lamaran Kerja Tulis Tangan Terbaru. Contoh Surat Pengunduran Diri Dari Aparat Desa Surat pernyataan pengunduran diri pertanyaannya adalah apakah anda sedang mencari contoh format surat pernyataan pengunduran diri. Pedoman sampul Surat.

The collection that consisting of chosen picture and the best among others. Bakal Perangkat Desa adalah sebagai berikut. Mengundurkan diri adalah sesuatu yang wajar dilakukan oleh siapaun yang berada dalam sebuah tanggung jawab perusahaan organisasi atau instansi lainnya.

Contoh surat permohonan menjadi bakal calon perangkat desa atau sekretaris desa berdasarkan peraturan bupati kendal no 51 tahun 2017 pasal 12 ayat 2. Contoh surat permohonan menjadi bakal calon perangkat desa atau sekretaris desa berdasarkan peraturan bupati kendal no 51 tahun 2017 pasal 12 ayat 2. Contoh surat izin cuti libur kerja bagi karyawan saat bekerja sebagai seorang karyawan ada kalanya tidak dapat hadir untuk bekerja dikarenakan suatu hal baik itu urusan pribadi maupun urusan.

C surat pernyataan setia dan taat kepada Pancasila sebagai Dasar Negara Undang-. Tulisan terletak dibagian atas tengah sampul surat denagn isi tulisan sebagai berikut. Dimana sampel surat ini telah disesuaikan dengan keadaan yang diinginkan oleh calon pemohon aparat desa.

Sampul surat panitia penjaringan dan penyaringan Perangkat Desa berentuk empat persegipanjang dan berwarna putih. A surat permohonanlamaran ditulis tangan dengan tinta hitam diatas kertas bermaterai. Gambar Contoh Surat Cuti Aparat Desa Terbaru 2019.

Bentuk stempel panitia Penjaringan dan Penyaringan Perangkat Desa sebagai berikut. Contoh Surat Lamaran Untuk Aparat Desa. Contoh surat lamaran perangkat desa doc maka dari itu pada kesempatan kali ini saya akan membagikan beberapa contoh surat lamaran kerja format doc yang baik dan benar untuk anda.

Contoh Surat Cuti Aparat Desa have an image associated with the otherContoh Surat Cuti Aparat Desa In addition it will include a picture of a kind that could be seen in the gallery of Contoh Surat Cuti Aparat Desa. Kumpulan Contoh Surat Lamaran Kerja Kementerian Desa Pembangunan Daerah Tertinggal Dan Transmigrasi yang Benar 2019. Kumpulan Contoh Surat Lamaran Perangkat Desa 2020 Format dan Contoh Surat Lamaran Perangkat Desa 2020 Format yang bisa anda download secara gratis disini.

Contoh Surat Lamaran Perangkat Desa Ciptacendekia Com. Contoh Surat Cuti Aparat Desa - Surat izin cuti ini diberikan berdasarkan surat permohonan izin cuti yang bersangkutan yang diterima tanggal 09 april 2020. Kepada YTH HRD Bank Kosngosan Cabang Padangsidimpuan Jl.

Bentuk Keputusan Dan Petikan Keputusan Kepala Desa Tentang Format 638 x 976 Contoh Sk Pemberhentian Aparat Desa Guru Ilmu Sosial Format 722 x 1024 pixel Download Contoh Surat Pengunduran. Contoh Surat Lamaran Kerja Kementerian Desa Pembangunan Daerah Tertinggal Dan Transmigrasi have a graphic associated with the otherContoh Surat Lamaran Kerja Kementerian Desa Pembangunan Daerah Tertinggal Dan. Contoh Surat Lamaran Kerja Pada pembahasan artikel kali ini kita akan membahas secara tuntas mengenai surat lamaran pekerjaantips contoh dan cara membuatnya serta apa saja penyebab lamaran kerja yang kita buat ditolak oleh sebuah.

Contoh surat lamaran ini dirangkum dari berbagai sumber yang ada dan juga dipercaya. Pengangkatan Perangkat Contoh Surat Lamaran. Bisa saja surat permohonan menjadi perangkat desa diketik atau bahkan bisa ditulis dengan jika diinginkan oleh penyeleksi.

Saat akan mengikuti lamaran sebagai perangkat desa yang paling diperhatikan adalah format surat. √ Contoh Surat Pengantar Permohonan Rekomendasi Aparat from contohsuratco Berkelakuan baik yang dibuktikan dengan surat keterangan catatan kepolisian. Serta bagi calon kepala desa syarat tersebut wajib dipenuhi sebagai dokumen sah dalam seleksi jabatan Perangkat Desa.


Contoh Surat Lamaran Pekerjaan Perangkat Desa 2018 Surat Lamaran Kerja Desain Contoh Surat Q4ykldv8v6


Contoh Surat Permohonan Lamaran Perangkat Desa Pdf


Format Surat Lamaran Calon Perangkat Desa Antapedia Com


Contoh Surat Lamaran Kerja Perangkat Desa Surat Lamaran Kerja Desain Contoh Surat Zxnbqmp8rp


Surat Permohonan Menjadi Perangkat Desa Doc


Surat Lamaran Dan Lampiran Pelamar Perangkat Pdf


Contoh Surat Lamaran Perangkat Desa Surat Lamaran Kerja Desain Contoh Surat Xkn2qzb8gq


Contoh Surat Lamaran Calon Perangkat Desa Youtube


Format 2 Lamaran Menjadi Perangkat Desa Pdf


Contoh Surat Lamaran Kerja Untuk Perangkat Desa Surat Lamaran Kerja Desain Contoh Surat Wg8g4lgn2a


Contoh Surat Lamaran Perangkat Desa Yang Baik Dan Benar Surat Lamaran Kerja Desain Contoh Surat Nj8ndxmpmk


Contoh Surat Lamaran Untuk Aparat Desa Delinews Tapanuli


Contoh Surat Lamaran Perangkat Desa Tulisan Tangan Surat Lamaran Kerja Desain Contoh Surat 5ypr1rzngz


Contoh Surat Lamaran Kerja Perangkat Desa 2019 Surat Lamaran Kerja Desain Contoh Surat Jwpq1zap4g


Surat Permohonan Menjadi Perangkat Desa Doc


35 Contoh Surat Permohonan Kerja Izin Bantuan Dana Contoh Surat


Surat Permohonan Kerja Pendamping Desa


Contoh Surat Permohonan Mendaftar Perangkat Desa Desa Putatgede


Surat Permohonan Sekdes Pdf

Related : surat lamaran aparat desa.